○【過去問題】5-1-1.プロジェクトマネジメント○
勝ち抜き力試し10問モード

■2問目 回答結果■
不正解!
正 解: 39
時 間:6521秒
正解数:0問

第3問目
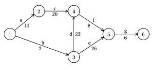
図はあるプロジェクトの作業工程(a〜g)を示したものである。クリティカルパス上にある作業のうち,最長の作業に要する日数を半分に短縮した場合,短縮後のプロジェクトの所要日数は,何日になるか。ここで,矢線に示す数字は各作業の所要日数を表す。

44
34
39
38


メニューへ
再挑戦