○【過去問題】7-2-1.データ構造○
全問特訓モード

■2問目 回答結果■
不正解!
正 解: 階層が異なれば同じ名称のディレクトリが作成できる。
時 間:6580秒
正解数:0問

第3問目
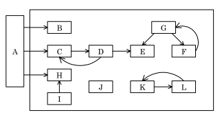
図に示す連絡網で,B〜LのうちAからの連絡が届かないものは幾つあるか。ここで,矢印線は連絡がとれる方向を表すものとする。

1
6
4
3


メニューへ
再挑戦