○★ストラテジ大分類「01.企業と法務」全過去問題○
全問特訓モード

■3問目 回答結果■
不正解!
正 解: 90
時 間:6524秒
正解数:1問

第4問目
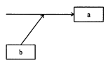
図は特性要因図の一部を表したものである。a,bの関係はどれか。

【【過去問題】1-1-2.OR・IE】より

bはaの原因である。
bはaの手段である。
bはaの目的である。
bはaの属性である。


メニューへ
再挑戦