○【過去問題】8-3-2.ファイルシステム○
全問特訓モード
第1問目
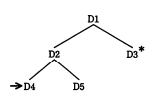
あるファイルシステムの一部が図のようなディレクトリ構造であるとき,*印のディレクトリ(カレントディレクトリ)D3から矢印が示すディレクトリD4の配下のファイルaを指定するものはどれか。ここで,ファイルの指定は,次の方法によるものとする。
〔指定方法〕
(1) ファイルは,“ディレクトリ名¥…¥ディレクトリ名¥ファイル名”のように,経路上のディレクトリを順に“¥”で区切って並べた後に“¥”とファイル名を指定する。
(2) カレントディレクトリは“.”で表す。
(3) 1階層上のディレクトリは“..”で表す。
(4) 始まりが“¥”のときは,左端にルートディレクトリが省略されているものとする。
(5) 始まりが“¥”,“.”,“..”のいずれでもないときは,左端にカレントディレクトリ配下であることを示す“.¥”が省略されているものとする。

..¥..¥D2¥D4¥a
D1¥D2¥D4¥a
..¥D2¥D4¥a
D2¥D4¥a
メニューへ
再挑戦